SOLUTION: Write an equivalent expression using exponential notation. ^5√(n^4)

Algebra ->  Rational-functions -> SOLUTION: Write an equivalent expression using exponential notation. ^5√(n^4)       Log On


   



Question 215683This question is from textbook Intermediate Algebra
: Write an equivalent expression using exponential notation. ^5√(n^4) This question is from textbook Intermediate Algebra

Answer by jsmallt9(3758) About Me  (Show Source):
You can put this solution on YOUR website!
Do you mean root%285%2C+n%5E4%29%29? If not, stop reading.

To rewrite various roots as exponents we need to know that:
sqrt%28x%29+=+root%282%2C+x%29+=+x%5E%281%2F2%29

root%283%2C+x%29+=+x%5E%281%2F3%29

root%284%2C+x%29+=+x%5E%281%2F4%29

root%285%2C+x%29+=+x%5E%281%2F5%29

etc.

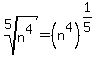
Using this on your expression we get
root%285%2C+n%5E4%29+=+%28n%5E4%29%5E%281%2F5%29
Then we can use the exponent rule %28a%5Eb%29%5Ec+=+a%5E%28b%2Ac%29 to simplify:
%28n%5E4%29%5E%281%2F5%29+=+n%5E%284%2A%281%2F5%29%29+=+n%5E%284%2F5%29