SOLUTION: When solving a rational equation, why is it necessary to perform a check?

Algebra ->  Rational-functions -> SOLUTION: When solving a rational equation, why is it necessary to perform a check?      Log On


   



Question 203563: When solving a rational equation, why is it necessary to perform a check?
Answer by Edwin McCravy(20056) About Me  (Show Source):
You can put this solution on YOUR website!
When solving a rational equation, why is it necessary to perform a check?

In solving a rational equation, we always clear of fractions.

When we clear of fractions we always multiply both sides by a
variable quantity.

When we multiply both sides of an equation by a variable expression,
we may introduce an extraneous solution a zero of that expression 
we multiplied through by.   

Example:

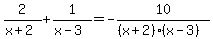
2%2F%28x%2B2%29%2B1%2F%28x-3%29=+-10%2F%28%28x%2B2%29%28x-3%29%29

The LCD is %28x%2B2%29%28x-3%29
  
So we multiply through by %28%28x%2B2%29%28x-3%29%29%2F1





2%28x-3%29%2B%28x%2B2%29=-10

2x-6%2Bx%2B2=-10

3x-4=-10

3x=-6

x=-6%2F3

x=-2

So at first it appears that x=-2 is
a solution.  However when we check:

2%2F%28x%2B2%29%2B1%2F%28x-3%29=+-10%2F%28%28x%2B2%29%28x-3%29%29



2%2F0%2B1%2F%28-5%29=+-10%2F%280%29%28-5%29%29

2%2F0%2B1%2F%28-5%29=+-10%2F0%29

But there are zeros in two denominators!

So there is no solution to this rational equation.

Edwin