SOLUTION: please help with rationalize Rationalize the denominator. Assume that all variables represent positive real numbers and that the denominator is not zero. 2 ________ 9 -

Algebra ->  Rational-functions -> SOLUTION: please help with rationalize Rationalize the denominator. Assume that all variables represent positive real numbers and that the denominator is not zero. 2 ________ 9 -       Log On


   



Question 19929: please help with rationalize
Rationalize the denominator. Assume that all
variables represent positive real numbers
and that the denominator is not zero.
2
________
9 - sqrt6
thanks,

Answer by Earlsdon(6294) About Me  (Show Source):
You can put this solution on YOUR website!
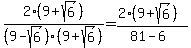
Rationalise the denominator:
2%2F%289-sqrt%286%29%29 Multiply top & bottom by the conjugate of 9-sqrt%286%29 and that's 9%2Bsqrt%286%29
= %2818%2B2sqrt%286%29%29%2F75