SOLUTION: How do you solve: f(x)=x squared - 2x + 4. Thanks

Algebra ->  Rational-functions -> SOLUTION: How do you solve: f(x)=x squared - 2x + 4. Thanks      Log On


   



Question 198890: How do you solve:
f(x)=x squared - 2x + 4.
Thanks

Answer by jim_thompson5910(35256) About Me  (Show Source):
You can put this solution on YOUR website!
f%28x%29=x%5E2-2x%2B4 Start with the given function


0=x%5E2-2x%2B4 Plug in f%28x%29=0


Notice we have a quadratic in the form of Ax%5E2%2BBx%2BC where A=1, B=-2, and C=4


Let's use the quadratic formula to solve for "x":


x+=+%28-B+%2B-+sqrt%28+B%5E2-4AC+%29%29%2F%282A%29 Start with the quadratic formula


x+=+%28-%28-2%29+%2B-+sqrt%28+%28-2%29%5E2-4%281%29%284%29+%29%29%2F%282%281%29%29 Plug in A=1, B=-2, and C=4


x+=+%282+%2B-+sqrt%28+%28-2%29%5E2-4%281%29%284%29+%29%29%2F%282%281%29%29 Negate -2 to get 2.


x+=+%282+%2B-+sqrt%28+4-4%281%29%284%29+%29%29%2F%282%281%29%29 Square -2 to get 4.


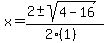
x+=+%282+%2B-+sqrt%28+4-16+%29%29%2F%282%281%29%29 Multiply 4%281%29%284%29 to get 16


x+=+%282+%2B-+sqrt%28+-12+%29%29%2F%282%281%29%29 Subtract 16 from 4 to get -12


x+=+%282+%2B-+sqrt%28+-12+%29%29%2F%282%29 Multiply 2 and 1 to get 2.


x+=+%282+%2B-+2i%2Asqrt%283%29%29%2F%282%29 Simplify the square root (note: If you need help with simplifying square roots, check out this solver)


x+=+%282%29%2F%282%29+%2B-+%282i%2Asqrt%283%29%29%2F%282%29 Break up the fraction.


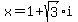
x+=+1+%2B-+sqrt%283%29%2Ai Reduce.


x+=+1%2Bsqrt%283%29%2Ai or x+=+1-sqrt%283%29%2Ai Break up the expression.


So the solutions are x+=+1%2Bsqrt%283%29%2Ai or x+=+1-sqrt%283%29%2Ai