SOLUTION: 3/2x-3=1/5-2x Solve and Check

Algebra ->  Rational-functions -> SOLUTION: 3/2x-3=1/5-2x Solve and Check      Log On


   



Question 197110: 3/2x-3=1/5-2x
Solve and Check

Answer by jojo14344(1513) About Me  (Show Source):
You can put this solution on YOUR website!


Given:
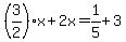
%283%2F2%29x-3=1%2F5-2x, Working Eqn

Combine similar terms:
%283%2F2%29x%2B2x=1%2F5%2B3
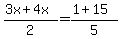
%283x%2B4x%29%2F2=%281%2B15%29%2F5
7x%2F2=16%2F5
cross%287%2F2%29x%2Fcross%287%2F2%29=%2816%2F5%29%2F%287%2F2%29
x=%2816%2F5%29%282%2F7%29
red%28x=32%2F35%29, Answer

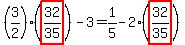
Go back Working Eqn:
%283%2F2%29%28highlight%2832%2F35%29%29-3=1%2F5-2%28highlight%2832%2F35%29%29
%283%2Fcross%282%29%29%28cross%2832%2916%2F35%29-3=1%2F5-64%2F35
48%2F35-3=%287-64%29%2F35
%2848-105%29%2F35=-57%2F35
red%28-57%2F35=-57%2F35%29

Thank you,
Jojo