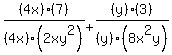
SOLUTION: simplified expression. (7)/(2xy^2)+(3)/(8x^2y)
Algebra
->
Rational-functions
-> SOLUTION: simplified expression. (7)/(2xy^2)+(3)/(8x^2y)
Log On
Algebra: Rational Functions, analyzing and graphing
Section
Solvers
Solvers
Lessons
Lessons
Answers archive
Answers
Click here to see ALL problems on Rational-functions
Question 195583
:
simplified expression.
(7)/(2xy^2)+(3)/(8x^2y)
Answer by
arallie(162)
(
Show Source
):
You can
put this solution on YOUR website!