SOLUTION: I am trying to solve an equation with a rational expression and I am having great struggles.
the question is
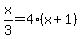
x/3=4(x+1)
Algebra ->
Rational-functions
-> SOLUTION: I am trying to solve an equation with a rational expression and I am having great struggles.
the question is
x/3=4(x+1)
Log On
Question 191998: I am trying to solve an equation with a rational expression and I am having great struggles.
the question is
x/3=4(x+1) Found 2 solutions by vleith, Alan3354:Answer by vleith(2983) (Show Source):
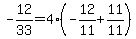
You can put this solution on YOUR website! clear the left side denominator by multipying both sides by 3 expand the right side collect like terms (subtract 12x from both sides) isolate x by dividing boths sides by -11
Now verify the answer by pluggin your solution into the original equation which is true so the naswer is correct
You can put this solution on YOUR website! I am trying to solve an equation with a rational expression and I am having great struggles.
the question is
x/3=4(x+1)
-----------
Multiply by 3
x = 12(x+1)
expand the right side
x = 12x + 12
subtract 12x from both sides
-11x = 12
divide by -11
x = -12/11