SOLUTION: A circular table is to be made that will have a top covered with material that costs $3.50 per square foot. The covering is to cost no more than $60. What is the maximum radius for

Algebra ->  Rational-functions -> SOLUTION: A circular table is to be made that will have a top covered with material that costs $3.50 per square foot. The covering is to cost no more than $60. What is the maximum radius for      Log On


   



Question 180611: A circular table is to be made that will have a top covered with material that costs $3.50 per square foot. The covering is to cost no more than $60. What is the maximum radius for the top of the table?
Answer by josmiceli(19441) About Me  (Show Source):
You can put this solution on YOUR website!
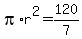
The area of the table is:
pi%2Ar%5E2
In words:
(max cost)/(cost/ft2) = max ft2
60+%2F+3.5+=+120%2F7 ft2
pi%2Ar%5E2+=+120%2F7
r%5E2+=+120%2F%287%2Api%29
r%5E2+=+5.457
r+=+2.336 ft
.336%2A12+=+4
The maximum radius is about 2 ft 4 in