SOLUTION: 7x-28 ------ x^2-16 can you help me simplify the equation and then show the restrictions?
Algebra
->
Rational-functions
-> SOLUTION: 7x-28 ------ x^2-16 can you help me simplify the equation and then show the restrictions?
Log On
Algebra: Rational Functions, analyzing and graphing
Section
Solvers
Solvers
Lessons
Lessons
Answers archive
Answers
Click here to see ALL problems on Rational-functions
Question 178781
:
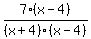
7x-28
------
x^2-16
can you help me simplify the equation and then show the restrictions?
Answer by
Mathtut(3670)
(
Show Source
):
You can
put this solution on YOUR website!
:
:
:
:
restrictions are x can be all real numbers except for -4. -4 would put a zero in the denominator and that would make this undefined, therefore it is not allowed.