SOLUTION: can you guys please help me through these two problems: instructions say simplify each sum: (-3x)/(x^2-9) + (4)/(2x-6) and these instructions say simplify each complex fr

Algebra ->  Rational-functions -> SOLUTION: can you guys please help me through these two problems: instructions say simplify each sum: (-3x)/(x^2-9) + (4)/(2x-6) and these instructions say simplify each complex fr      Log On


   



Question 175243: can you guys please help me through these two problems:
instructions say simplify each sum:
(-3x)/(x^2-9) + (4)/(2x-6)
and
these instructions say simplify each complex fraction:
(-3)/(5/x+y)

Answer by ankor@dixie-net.com(22740) About Me  (Show Source):
You can put this solution on YOUR website!
simplify each sum:
%28-3x%29%2F%28x%5E2-9%29 + %284%29%2F%282x-6%29
The 1st denominator is the "difference of squares"; the 2nd denominator can also be factored;
%28-3x%29%2F%28%28x-3%29%28x%2B3%29%29 + %284%29%2F%282%28x-3%29%29
The common denominator will be 2(x+3)(x-3)so we have
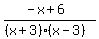
%282%28-3x%29+%2B+4%28x%2B3%29%29%2F%282%28x%2B3%29%28x-3%29%29 = %28-6x+%2B+4x+%2B+12%29%2F%282%28x%2B3%29%28x-3%29%29 = %28-2x+%2B+12%29%2F%282%28x%2B3%29%28x-3%29%29
Factor out 2 in the numerator, then cancel the twos
2%28-x+%2B+6%29%2F%282%28x%2B3%29%28x-3%29%29 = %28-x+%2B+6%29%2F%28%28x%2B3%29%28x-3%29%29

and
these instructions say simplify each complex fraction:
(-3)/(5/x+y)
:
When dividing fractions invert the dividing fraction and multiply
-3 * %28%28x%2By%29%29%2F5 = -%283%28x%2By%29%29%2F5