SOLUTION: Multiply, and then evaluate for X = 4: 9X^2-25 ------- X+3 times X^2+3X ---------- 3X^2+4X-15

Algebra ->  Rational-functions -> SOLUTION: Multiply, and then evaluate for X = 4: 9X^2-25 ------- X+3 times X^2+3X ---------- 3X^2+4X-15      Log On


   



Question 174765This question is from textbook Saxon Algebra 2
: Multiply, and then evaluate for X = 4:
9X^2-25
-------
X+3
times
X^2+3X
----------
3X^2+4X-15
This question is from textbook Saxon Algebra 2

Answer by Alan3354(69443) About Me  (Show Source):
You can put this solution on YOUR website!
Multiply, and then evaluate for X = 4:
9x^2-25
-------
X+3
times
X^2+3X
----------
3X^2+4X-15
+++++++++++++++++++++++++++
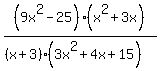
=%289x%5E2-25%29%2A%28x%5E2%2B3x%29%2F%28%28x%2B3%29%2A%283x%5E2%2B4x%2B15%29%29
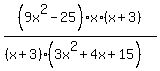
=%289x%5E2-25%29%2Ax%2A%28x%2B3%29%2F%28%28x%2B3%29%2A%283x%5E2%2B4x%2B15%29%29
Cancel (x+3)
=%289x%5E2-25%29%2Ax%2F%283x%5E2%2B4x%2B15%29
=x%2A%283x-5%29%2A%283x%2B5%29%2F%283x%5E2%2B4x%2B15%29
=x%2A%283x-5%29%2A%283x%2B5%29%2F%283x%5E2%2B4x%2B15%29
That's all you can do.
@x=4:
=(4*7*17)/(48+16+15)
=476/79
-----------
If there's a typo, and it should be: -15 instead of +15
=x%2A%283x-5%29%2A%283x%2B5%29%2F%283x%5E2%2B4x-15%29, then
=x%2A%283x-5%29%2A%283x%2B5%29%2F%28%283x-5%29%2A%28x%2B3%29%29
=x%2A%283x%2B5%29%2F%28%28x%2B3%29%29
and @x=4:
= 4*17/7
= 76/7