SOLUTION: Solve: (x^4)-(8x^3)+(19x^2)-(16x)+(34)=0... Given that 4-i is a root Show your work please. I am completely lost. O_o

Algebra ->  Rational-functions -> SOLUTION: Solve: (x^4)-(8x^3)+(19x^2)-(16x)+(34)=0... Given that 4-i is a root Show your work please. I am completely lost. O_o      Log On


   



Question 172463: Solve: (x^4)-(8x^3)+(19x^2)-(16x)+(34)=0... Given that 4-i is a root
Show your work please. I am completely lost. O_o

Answer by Fombitz(32388) About Me  (Show Source):
You can put this solution on YOUR website!
Complex solutions to polynomial always come in conjugate pairs.
So, if 4-i is a solution, then so is 4+i.
.
.
I usually graph functions to try get a better sense of where the zeros are.
.
.
+graph%28+300%2C+300%2C+-5%2C+5%2C+-100%2C+100%2C+x%5E4-8x%5E3%2B19x%5E2-16x%2B34%29+
.
.
As you see here, the function does get close to crossing the x axis which means all of the roots are complex.
.
.
Since we know that (4-i) and (4+i) are both roots, then
%28x-%284%2Bi%29%29%28x-%284-i%29%29=x%5E2-8x%2B17
.
.
We can divide (using polynomial long division) the original polynomial with this polynomial to find the remainder and then use the quadratic formula on the remainder to find its roots.
.
.
%28x%5E4-8x%5E3%2B19x%5E2-16x%2B34%29%2F%28x%5E2-8x%2B17%29
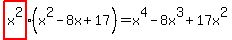
First multiplier: highlight%28x%5E2%29%28x%5E2-8x%2B17%29=x%5E4-8x%5E3%2B17x%5E2
Remainder:%28x%5E4-8x%5E3%2B19x%5E2-16x%2B34%29-%28x%5E4-8x%5E3%2B17x%5E2%29=2x%5E2-16x%2B34
Second multiplier:highlight%282%29%28x%5E2-8x%2B17%29=2x%5E2-16x%2B34
Remainder:%282x%5E2-16x%2B34%29-%282x%5E2-16x%2B34%29=0
The other polynomial is x%5E2%2B2
x%5E4-8x%5E3%2B19x%5E2-16x%2B34=%28x%5E2-8x%2B17%29%28x%5E2%2B2%29
The roots are:
x%5E2%2B2=0
x%5E2=-2
x=0+%2B-+sqrt%282%29i
.
.
.
So the 4 roots of x%5E4-8x%5E3%2B19x%5E2-16x%2B34 are
x=4-i
x=4%2Bi
x=sqrt%282%29i
x=-sqrt%282%29i