SOLUTION: Find the thrid degree polynomial whose graph is shown in the figure. <p> the figure show a graph with a line coming up passing through -2 on x-axis, continuing up, then arcing do

Algebra ->  Rational-functions -> SOLUTION: Find the thrid degree polynomial whose graph is shown in the figure. <p> the figure show a graph with a line coming up passing through -2 on x-axis, continuing up, then arcing do      Log On


   



Question 16800: Find the thrid degree polynomial whose graph is shown in the figure.


the figure show a graph with a line coming up passing through -2 on x-axis, continuing up, then arcing down just to the left of the y-axis and then passing though 2 on y-axis then down to just touching 2 on the x-axis and then arcs back up. The bottom of the arc is right on 2.


I'm not sure how to go about finding the third degree poly on this one. Thanks for any help.

Answer by rapaljer(4671) About Me  (Show Source):

You can put this solution on YOUR website!
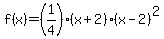
If the graph crosses the x axis at x=-2, then it has a single root (zero) at x= -2, and so there must be a factor of (x-2).

If it bounces off the x axis at x= 2, then there must be a double root (zero) at x=2, and there must be a factor of (x-2)^2.

This would be f(x) = c(x+2)(x-2)^2, where c is some number yet to be determined.

If you said the graph crosses the y-axis at 2, then
f(0) = c*(2)*(-2)^2 = 2
8c = 2, so c= 1/4.

f%28x%29+=+%281%2F4%29%28x%2B2%29%28x-2%29%5E2

See if this is the graph:

graph%28300%2C+300%2C+-10%2C10%2C-10%2C10%2C+%281%2F4%29%28x%2B2%29%28x-2%29%5E2%29+

R^2 at SCC