SOLUTION: Mulitply 8r + 16/ 24r - 24 . 6r - 6/ 3r + 6 How I solved 8(r+2) / 8 (r-3) . 3 (r-2)/ 3 (r + 2) Cancel out r+2 and both 8 and 3 Giving me r-3 / 3r - 3 Amy I doing this

Algebra ->  Rational-functions -> SOLUTION: Mulitply 8r + 16/ 24r - 24 . 6r - 6/ 3r + 6 How I solved 8(r+2) / 8 (r-3) . 3 (r-2)/ 3 (r + 2) Cancel out r+2 and both 8 and 3 Giving me r-3 / 3r - 3 Amy I doing this      Log On


   



Question 167883: Mulitply 8r + 16/ 24r - 24 . 6r - 6/ 3r + 6
How I solved
8(r+2) / 8 (r-3) . 3 (r-2)/ 3 (r + 2)
Cancel out r+2 and both 8 and 3
Giving me
r-3 / 3r - 3
Amy I doing this correctly?

Answer by nerdybill(7384) About Me  (Show Source):
You can put this solution on YOUR website!
Yes, you're technique is fine --however you made an arithmetic error:
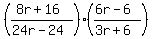
%28%288r+%2B+16%29%2F+%2824r+-+24%29%29+%28%286r+-+6%29%2F%28+3r+%2B+6%29%29
%28+8%28r+%2B+2%29%2F+%2824r+-+24%29%29+%28%286r+-+6%29%2F3%28+r+%2B+2%29%29
%28+8%2F+%2824r+-+24%29%29+%28%286r+-+6%29%2F3%29
%28+8%2F%2824%28r+-+1%29%29%29+%28%286%28r+-+1%29%29%2F3%29%29
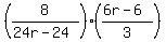
%288%2F24%29%286%2F3%29
%281%2F3%29%282%2F1%29
2%2F3+