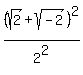
(√2 + √-2)^2
______________
(2)^2
the line represents division
That's:
I suspect that you didn't copy something right.
Why? Because since you are in advanced enough math
to be studying about imaginary numbers, I doubt that
a book or worksheet would make you do an unnecessary
elementary operation like squaring 2, that is,
multiplying 2 by itself and getting 4. That's 3rd
grade math. The authors wouldn't be putting that
elementary an operation into a problem. They'd just
have given you this:
The only purpose the author could have had to put
instead of
was to test you to see if you knew the
3rd grade math question "What is
". But if you
didn't know 3rd grade math then you couldn't possibly be
where you are in math, all the way to studying imaginary numbers.
So no teacher would need to test you on that.
Anyway, if this is the problem:
Then we replace the
with
.
Now instead of dividing by
, let's change
that to multiplying by
which is the same
thing:

Now to the side:
Write the term
as
.
Then write that as
and
finally write that as
.
So we replace
by
in:

and get:

Now replace
by

Now out of each of those parentheses we can factor out

Repositioning the factors:

Replace
by

Now we use FOIL on

Combining the two middle terms:

Replacing
by

The
and
cancel:

or

or

or just
Edwin