SOLUTION: 4x Plus 4 over 12x squared plus 20x plus 8
Algebra
->
Rational-functions
-> SOLUTION: 4x Plus 4 over 12x squared plus 20x plus 8
Log On
Algebra: Rational Functions, analyzing and graphing
Section
Solvers
Solvers
Lessons
Lessons
Answers archive
Answers
Click here to see ALL problems on Rational-functions
Question 149157
:
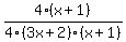
4x Plus 4
over
12x squared plus 20x plus 8
Answer by
mangopeeler07(462)
(
Show Source
):
You can
put this solution on YOUR website!
Factor
Cancel like terms (4's and x+1's)