SOLUTION: {{{(x^3-64)/(8x^3+1)}}}.{{{(4x^2-1)/(x^2+4x+16)}}}

Algebra ->  Rational-functions -> SOLUTION: {{{(x^3-64)/(8x^3+1)}}}.{{{(4x^2-1)/(x^2+4x+16)}}}      Log On


   



Question 141488: %28x%5E3-64%29%2F%288x%5E3%2B1%29.%284x%5E2-1%29%2F%28x%5E2%2B4x%2B16%29
Answer by Edwin McCravy(20064) About Me  (Show Source):
You can put this solution on YOUR website!
%28x%5E3-64%29%2F%288x%5E3%2B1%29.%284x%5E2-1%29%2F%28x%5E2%2B4x%2B16%29

----------------------
Factoring rules needed:

The difference of two squares factors like this:
FIRST%5E2-SECOND%5E2=%28FIRST-SECOND%29%28FIRST%2BSECOND%29

The sum of two cubes factors like this:
To factor FIRST%5E3%2BSECOND%5E2=%28FIRST%2BSECOND%29%28FIRST%5E2-FIRST%2ASECOND%2BSECOND%5E2%29

The difference of two cubes factors like this:
To factor FIRST%5E3-SECOND%5E2=%28FIRST-SECOND%29%28FIRST%5E2%2BFIRST%2ASECOND%2BSECOND%5E2%29
----------------------

We factor x%5E3-64 by writing it as x%5E3-4%5E3.
So it's the difference of two cubes with FIRST=x and SECOND=4
So it factors as %28x-4%29%28x%5E2%2Bx%2A4%2B4%5E2%29=%28x-4%29%28x%5E2%2B4x%2B16%29

We factor 8x%5E3%2B1 by writing it as %282x%29%5E3%2B%281%29%5E3.
So it's the sum of two cubes with FIRST=2x and SECOND=1
So it factors as 

We factor 4x%5E2-1 by writing it as %282x%29%5E2-%281%29%5E2.
So it's the difference of two squares with FIRST=2x and SECOND=1
So it factors as %282x-1%29%282x%2B1%29

So we replace everything by its factorization:

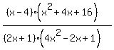
%28%28x-4%29%28x%5E2%2B4x%2B16%29%29%2F%28%282x%2B1%29%284x%5E2-2x%2B1%29%29.%28%282x-1%29%282x%2B1%29%29%2F%28x%5E2%2B4x%2B16%29 

We can cancel the %28x%5E2%2B4x%2B16%29's

%28%28x-4%29%28cross%28x%5E2%2B4x%2B16%29%29%29%2F%28%282x%2B1%29%284x%5E2-2x%2B1%29%29.%28%282x-1%29%282x%2B1%29%29%2F%28cross%28x%5E2%2B4x%2B16%29%29%29

And also we can cancel the %282x%2B1%29's

.%28%282x-1%29cross%28%282x%2B1%29%29%29%2F%28cross%28x%5E2%2B4x%2B16%29%29%29

That leaves:

%28%28x-4%29%282x-1%29%29%2F%284x%5E2-2x%2B1%29

It's not necessary, but you can FOIL
out the numerator and get

%282x%5E2-9x%2B4%29%2F%284x%5E2-2x%2B1%29

Edwin