SOLUTION: I need to slove by completing the square m^2-1/2 m=7/2

Algebra ->  Rational-functions -> SOLUTION: I need to slove by completing the square m^2-1/2 m=7/2       Log On


   



Question 138577: I need to slove by completing the square
m^2-1/2 m=7/2

Answer by solver91311(24713) About Me  (Show Source):
You can put this solution on YOUR website!
I don't know how to slove anything. But I will show you how to solve by completing the square.

m%5E2-%281%2F2%29+m=7%2F2

Step 1 is to put the constant term on the left, but that is already done.

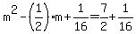
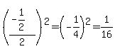
Step 2: Divide the coefficient on the 1st degree term by 2, square the result, and then add that result to both sides of the equation. %28%28-1%2F2%29%2F2%29%5E2=%28-1%2F4%29%5E2=1%2F16, so:

m%5E2-%281%2F2%29m%2B1%2F16=7%2F2%2B1%2F16
m%5E2-%281%2F2%29m%2B1%2F16=57%2F16

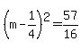
Step 3: Factor the perfect square trinomial on the left:
%28m-1%2F4%29%5E2=57%2F16

Step 4: Take the square root of both sides, remembering to consider both the positive and negative root.

m-1%2F4=sqrt%2857%2F16%29 or m-1%2F4=-sqrt%2857%2F16%29

Step 5: Add the opposite of the constant on the left to both sides:

m=1%2F4%2B-sqrt%2857%2F16%29

And finally simplify the radical:

m=%281%2B-sqrt%2857%29%29%2F4