|
Question 136847This question is from textbook HOlt
: How do I find the domain?
This question is from textbook HOlt
Answer by wpeterh(1) (Show Source):
You can put this solution on YOUR website! Apologies for not having the text in front of me, but perhaps some general steps can lead you in the right direction.
Domain is the set of all values that a function will accept as input. I tend to categorize domain in four areas:
1) Explicit domain. In this case the domain is stated with the function as in:
f(x) = x^2 + 2x + 1 , x>=3 Here the domain is the condition stated after the function, all real numbers greater than 3.
Occasionally, this may be indicated using interval notation or set notation as well.
2) Exclusion of division by zero. (I have a feeling this may be where you are facing difficulty.) In math, division by zero is not allowed. To avoid this, the domain is defined as all values that DON'T cause division by zero. In order to find what these values are, we have to look ONLY at the DENOMINATOR. When we look at the expression in the denominator, we solve for where it WOULD IN FACT EQUAL ZERO. This may sound counterintuitive, but it gives the values we must EXCLUDE.
Example: Find the domain if: 
Here we only have to look at the denominator 
We set it equal to zero and solve:

(factorization)
x = 4 or x = 3 (solving factors = 0)
Since a value of x=3 or x=4 would cause the denominator to be 0 (not allowed) we exclude those values from the domain. Our end answer would be:
{x|x<3 or 34} (Your teacher may allow you to use a not equal sign and say x<>3 and x<>4.
3)When working with REAL numbers, even roots must have non-negative arguments (Inside the root >=0). Here we want to only INCLUDE values satisfying the condition. (Note that if you are working with complex and imaginary numbers, this restriction is lifted.)
To solve this kind of problem, isolate what is inside the root and solve for >=0
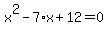
Example: 
Here we want 
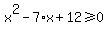
We can factor and solve for the zeros, then test the intervals, or look at the graph:
Note that this is the inside of the root, and not the root itself.
The set of values we want is where the graph is non-negative (at the axis or above). This corresponds to x<3 or x>4.
4) By the definition of the function. Certain functions such as exponential and log functions restrict the base of the functions to positive values. Additionally, the arguments of log functions must be positive.
When more than one of these four criteria are presents, the domain must incorporate all of the restrictions.
|
|
|
| |