SOLUTION: 2. Divide: x2 – 9x + 20 ÷ x2 – 16 3x – 15 9x + 36

Algebra ->  Rational-functions -> SOLUTION: 2. Divide: x2 – 9x + 20 ÷ x2 – 16 3x – 15 9x + 36       Log On


   



Question 132135This question is from textbook intermediate algebra
: 2. Divide:
x2 – 9x + 20 ÷ x2 – 16
3x – 15 9x + 36
This question is from textbook intermediate algebra

Answer by jim_thompson5910(35256) About Me  (Show Source):
You can put this solution on YOUR website!
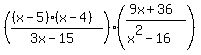
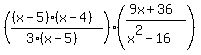
%28%28x%5E2-9x%2B20%29%2F%283x-15%29%29%2F%28%28x%5E2-16%29%2F%289x%2B36%29%29 Start with the given expression

%28%28x%5E2-9x%2B20%29%2F%283x-15%29%29%2A%28%289x%2B36%29%2F%28x%5E2-16%29%29 Multiply the first fraction by the reciprocal of the second fraction


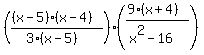
%28%28%28x-5%29%28x-4%29%29%2F%283x-15%29%29%28%289x%2B36%29%2F%28x%5E2-16%29%29 Factor x%5E2-9x%2B20 to get %28x-5%29%28x-4%29

%28%28%28x-5%29%28x-4%29%29%2F%283%28x-5%29%29%29%28%289x%2B36%29%2F%28x%5E2-16%29%29 Factor 3x-15 to get 3%28x-5%29

%28%28%28x-5%29%28x-4%29%29%2F%283%28x-5%29%29%29%28%289%28x%2B4%29%29%2F%28x%5E2-16%29%29 Factor 9x%2B36 to get 9%28x%2B4%29

Factor x%5E2-16 to get %28x%2B4%29%28x-4%29


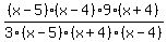
%28x-5%29%28x-4%299%28x%2B4%29%2F3%28x-5%29%28x%2B4%29%28x-4%29 Combine the fractions


Cancel like terms


9%2F3 Simplify


3 Reduce




--------------------------------------------------
Answer:

So %28%28x%5E2-9x%2B20%29%2F%283x-15%29%29%2F%28%28x%5E2-16%29%2F%289x%2B36%29%29 simplifies to 3. In other words %28%28x%5E2-9x%2B20%29%2F%283x-15%29%29%2F%28%28x%5E2-16%29%2F%289x%2B36%29%29=3 where x%3C%3E-4, x%3C%3E4, or x%3C%3E5