SOLUTION: x to the 2nd + 7x + x to the 2nd - 4x ----------- ----- ----------- ------ x to the 2nd - 5x x to the 2nd - 5x

Algebra ->  Rational-functions -> SOLUTION: x to the 2nd + 7x + x to the 2nd - 4x ----------- ----- ----------- ------ x to the 2nd - 5x x to the 2nd - 5x      Log On


   



Question 124748This question is from textbook
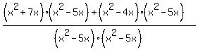
: x to the 2nd + 7x + x to the 2nd - 4x
----------------- ------------------
x to the 2nd - 5x x to the 2nd - 5x
This question is from textbook

Found 2 solutions by MathLover1, solver91311:
Answer by MathLover1(20850) About Me  (Show Source):
You can put this solution on YOUR website!
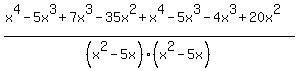
%28x%5E2%2B+7x%29%2F%28x%5E2-5x%29+%2B+%28x%5E2+-4x%29%2F%28x%5E2-5x%29





%282x%5E4+-7x%5E3+-15x%5E2+%29%2F%28x%5E4-5x%5E3-5x%5E3%2B25x%5E2%29+

%282x%5E4+-7x%5E3+-15x%5E2+%29%2F%28x%5E4-10x%5E3%2B25x%5E2%29+

x%5E2%282x%5E2+-7x+-15+%29%2Fx%5E2%28x%5E2-10x%2B25%29+

cross%28x%5E2%29%282x%5E2+-2x+-15+%29%2Fcross%28x%5E2%29%28x%5E2-10x%2B25%29+

%282x%5E2+-7x+-15+%29%2F%28x%5E2-10x%2B25%29+
now factor out 2x%5E2+-7x+-15 and x%5E2-10x%2B25
2x%5E2+-7x+-15......... replace -7x with 3x+-10x
2x%5E2+%2B+3x+-10x-15.........
%282x%5E2+%2B+3x%29+-%2810x%2B15%29.........
x%282x+%2B+3%29+-5%282x%2B3%29.........
+%28x-5%29%282x%2B3%29+.........
other one will be:
x%5E2-10x%2B25............replace +-10x with +-5x+-5x
x%5E2+-5x+-5x%2B25............
%28x%5E2+-5x%29+-%285x-25%29............
x%28x+-5%29+-5%28x-5%29............
+%28x+-5%29%28x-5%29+............

substitute them in:%282x%5E2+-7x+-15+%29%2F%28x%5E2-10x%2B25%29+
%28%28x-5%29%282x%2B3%29%29%2F%28%28x+-5%29%28x-5%29%29+

%28cross%28%28x-5%29%29%282x%2B3%29%29%2F%28cross%28%28x+-5%29%29%28x-5%29%29+
%282x%2B3%29%2F%28x-5%29+

Answer by solver91311(24713) About Me  (Show Source):
You can put this solution on YOUR website!
%28%28x%5E2%2B7x%29%2F%28x%5E2-5x%29%29%2B%28%28x%5E2-4x%29%2F%28x%5E2-5x%29%29

The denominators are equal, so add the numerators directly:

%28%28x%5E2%2B7x%29%2B%28x%5E2-4x%29%29%2F%28x%5E2-5x%29
%282x%5E2%2B3x%29%2F%28x%5E2-5x%29

Factor x from both numerator and denominator:
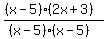
%28x%282x%2B3%29%29%2F%28x%28x-5%29%29

Divide x by x to cancel:
%28cross%28x%29%282x%2B3%29%29%2F%28cross%28x%29%28x-5%29%29

Done
%282x%2B3%29%2F%28x-5%29