SOLUTION: How do you factor out t to the fourth minus 16. The problem is t4 - 16 * t2 +1 over t4 - 1 t2+ 4

Algebra ->  Rational-functions -> SOLUTION: How do you factor out t to the fourth minus 16. The problem is t4 - 16 * t2 +1 over t4 - 1 t2+ 4      Log On


   



Question 123903This question is from textbook
: How do you factor out t to the fourth minus 16. The problem is
t4 - 16 * t2 +1
over
t4 - 1 t2+ 4
This question is from textbook

Answer by bucky(2189) About Me  (Show Source):
You can put this solution on YOUR website!
The factoring rule you can apply here is:
.
a%5E2+-+b%5E2+=+%28a+%2B+b%29%2A%28a+-+b%29
.
The form on the left side is often called the difference of two squares, or the difference of
two perfect squares. And the rule is that the difference of two perfect squares factors into
the product of the sum and differences of the square roots of these squares.
.
[you can multiply out the right side of this equation just to convince yourself that the
product really does equal the left side.]
.
You were given:
.
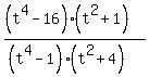
%28%28t%5E4+-+16%29%2A%28t%5E2+%2B+1%29%29%2F%28%28t%5E4-1%29%2A%28t%5E2%2B4%29%29
.
You can apply this rule to the t%5E4+-+16 in the numerator. The square root of t%5E4 is
t%5E2 and the square root of 16 is 4. Therefore, the rule tells you that:
.
t%5E4+-+16+=+%28t%5E2+%2B+4%29%2A%28t%5E2+-4%29
.
Substituting this into the original problem results in:
.

.
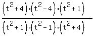
Next in the denominator you can apply the rule to t%5E4+-+1 to get its factors as follows:
.
t%5E4+-+1+=+%28t%5E2+%2B+1%29%2A%28t%5E2+-1%29
.
Substitute this into the problem results in it becoming:
.

.
Now look for common factors in the numerator and denominator and cancel them:
.

.
This leaves you with:
.
%28t%5E2+-+4%29%2F%28t%5E2+-+1%29
.
Notice that you could apply the factoring rule to both the numerator and denominator to get:
.
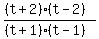
%28%28t%2B2%29%2A%28t-2%29%29%2F%28%28t%2B1%29%2A%28t-1%29%29
.
This time there are no cancellations of factors that are common in the numerator and denominator.
So no further simplifications are possible. So you have your choice of answers ... either:
.
%28t%5E2+-+4%29%2F%28t%5E2+-+1%29
.
or
.
%28%28t%2B2%29%2A%28t-2%29%29%2F%28%28t%2B1%29%2A%28t-1%29%29
.
Both answers are correct, but you which one you choose may very well depend on what your teacher
or textbook instructs you to do in solving these problems.
.
Hope this helps you to understand this particular factoring rule.
.