SOLUTION: Write an equation for a rational function with: Vertical asymptotes at x = -1 and x = 5 x intercepts at x = 4 and x = -5 y intercept at 3

Algebra ->  Rational-functions -> SOLUTION: Write an equation for a rational function with: Vertical asymptotes at x = -1 and x = 5 x intercepts at x = 4 and x = -5 y intercept at 3      Log On


   



Question 1200434: Write an equation for a rational function with:
Vertical asymptotes at x = -1 and x = 5
x intercepts at x = 4 and x = -5
y intercept at 3

Answer by josgarithmetic(39617) About Me  (Show Source):
You can put this solution on YOUR website!
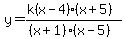
y=%28k%2Anumerator%29%2Fdenominator

y=%28k%28x-4%29%28x%2B5%29%29%2F%28%28x%2B1%29%28x-5%29%29-------undefined for x at -1 and x at +5


want something about like (0,3).


y=k%28-4%29%285%29%2F%28%281%29%28-5%29%29
y=k%284%29
3=4k
k=3%2F4


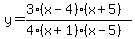
y=%283%28x-4%29%28x%2B5%29%29%2F%284%28x%2B1%29%28x-5%29%29