SOLUTION: Given f(x)= 1/(x-2) and g(x)=x^2+2, find g ° f.
Algebra
->
Rational-functions
-> SOLUTION: Given f(x)= 1/(x-2) and g(x)=x^2+2, find g ° f.
Log On
Algebra: Rational Functions, analyzing and graphing
Section
Solvers
Solvers
Lessons
Lessons
Answers archive
Answers
Click here to see ALL problems on Rational-functions
Question 1199937
:
Given f(x)= 1/(x-2) and g(x)=x^2+2, find g ° f.
Answer by
ikleyn(52835)
(
Show Source
):
You can
put this solution on YOUR website!
.
Given f(x)= 1/(x-2) and g(x)=x^2+2, find g ° f.
~~~~~~~~~~~~~~~~~~
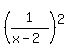
(g ° f)(x) = (f(x))^2 + 2 = (I continue) =
+ 2 =
+ 2.
ANSWER
Solved.