Lets start with the given system of linear equations


Now in order to solve this system by using substitution, we need to solve (or isolate) one variable. I'm going to choose y.
Solve for y for the first equation
Subtract from both sides
Divide both sides by -3.
Which breaks down and reduces to
Now we've fully isolated y
Since y equals we can substitute the expression into y of the 2nd equation. This will eliminate y so we can solve for x.
Replace y with . Since this eliminates y, we can now solve for x.
Distribute 1 to 
Multiply
Reduce any fractions
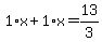
Add to both sides
Make 4 into a fraction with a denominator of 3
Combine the terms on the right side
Now combine the terms on the left side.
Multiply both sides by . This will cancel out and isolate x
So when we multiply and (and simplify) we get
<---------------------------------One answer
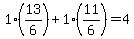
Now that we know that , lets substitute that in for x to solve for y
Plug in into the 2nd equation
Multiply
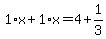
Subtract from both sides
Make 4 into a fraction with a denominator of 6
Combine the terms on the right side
Multiply both sides by . This will cancel out 1 on the left side.
Multiply the terms on the right side
Reduce
So this is the other answer
<---------------------------------Other answer
So our solution is
and 
which can also look like
( , )
Notice if we graph the equations (if you need help with graphing, check out this solver)


we get
graph of (red) and (green) (hint: you may have to solve for y to graph these) intersecting at the blue circle.
and we can see that the two equations intersect at ( , ). This verifies our answer.
-----------------------------------------------------------------------------------------------
Check:
Plug in ( , ) into the system of equations
Let and . Now plug those values into the equation 
Plug in and 
Multiply
Add
Reduce. Since this equation is true the solution works.
So the solution ( , ) satisfies 
Let and . Now plug those values into the equation 
Plug in and 
Multiply
Add
Reduce. Since this equation is true the solution works.
So the solution ( , ) satisfies 
Since the solution ( , ) satisfies the system of equations


this verifies our answer.
|