SOLUTION: Can you please help me simplify this equation using radicals? I believe you must use a conjugate. 3+the square root of 7/1-the square root of 3.

Algebra ->  Rational-functions -> SOLUTION: Can you please help me simplify this equation using radicals? I believe you must use a conjugate. 3+the square root of 7/1-the square root of 3.       Log On


   



Question 117919: Can you please help me simplify this equation using radicals? I believe you must use a conjugate. 3+the square root of 7/1-the square root of 3.

Answer by jim_thompson5910(35256) About Me  (Show Source):
You can put this solution on YOUR website!
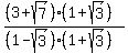
%283%2Bsqrt%287%29%29%2F%281-sqrt%283%29%29 Start with the given expression


Multiply by the fraction by %281%2Bsqrt%283%29%29%2F%281%2Bsqrt%283%29%29. Note 1%2Bsqrt%283%29 is the conjugate of 1-sqrt%283%29.


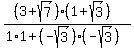
Combine the fractions


Foil the denominator


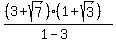
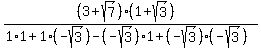
Cancel like terms


%28%283%2Bsqrt%287%29%29%281%2Bsqrt%283%29%29%29%2F%281-3%29 Multiply


%28%283%2Bsqrt%287%29%29%281%2Bsqrt%283%29%29%29%2F%28-2%29 Combine like terms



Foil the numerator



%283%2B3sqrt%283%29%2Bsqrt%287%29%2Bsqrt%2821%29%29%2F%28-2%29 Multiply