SOLUTION: can someone please help me with this... find the oblique asymptote of R(x)=(x^3+4x+1)/(x-2)______ please explain with detail

Algebra ->  Rational-functions -> SOLUTION: can someone please help me with this... find the oblique asymptote of R(x)=(x^3+4x+1)/(x-2)______ please explain with detail      Log On


   



Question 1157351: can someone please help me with this... find the oblique asymptote of R(x)=(x^3+4x+1)/(x-2)______ please explain with detail
Answer by greenestamps(13203) About Me  (Show Source):
You can put this solution on YOUR website!


There is no oblique asymptote.

The numerator is degree 3, the denominator is degree 1. The quotient is degree 2, so the asymptote is a parabola, not a line. By the formal definition, an oblique asymptote is a line.

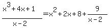
Perform the indicated division, either with long division or synthetic division. The result will be

%28x%5E3%2B4x%2B1%29%2F%28x-2%29+=+x%5E2%2B2x%2B8%2B9%2F%28x-2%29

The asymptote will be the quadratic function x^2+2x+8.

Here is graph of the function and its asymptote.