SOLUTION: Let x, y, z be nonzero real numbers such that {{{x + y + z = 0}}}, and {{{xy + xz + yz != 0}}}. Find all possible values of {{{(x^5+y^5+z^5)/((xyz)(xy+xz+yz))}}}.Enter all possible

Algebra ->  Rational-functions -> SOLUTION: Let x, y, z be nonzero real numbers such that {{{x + y + z = 0}}}, and {{{xy + xz + yz != 0}}}. Find all possible values of {{{(x^5+y^5+z^5)/((xyz)(xy+xz+yz))}}}.Enter all possible      Log On


   



Question 1156961: Let x, y, z be nonzero real numbers such that x+%2B+y+%2B+z+=+0, and xy+%2B+xz+%2B+yz+%21=+0. Find all possible values of %28x%5E5%2By%5E5%2Bz%5E5%29%2F%28%28xyz%29%28xy%2Bxz%2Byz%29%29.Enter all possible values, separated by commas.
I didn't know how to enter "not equal to" so I just put !, refers to not function in coding.

Answer by Edwin McCravy(20059) About Me  (Show Source):
You can put this solution on YOUR website!
Let x, y, z be nonzero real numbers such that x+%2B+y+%2B+z+=+0,
and xy+%2B+xz+%2B+yz+%3C%3E+0. Find all possible values of
%28x%5E5%2By%5E5%2Bz%5E5%29%2F%28%28xyz%29%28xy%2Bxz%2Byz%29%29
x+%2B+y+%2B+z+=+0

z=-x-y

Substitute for z









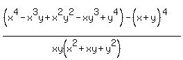
Divide top and bottom by (x+y)







%28-5x%5E3y-5x%5E2y%5E2-5xy%5E3%29%2F%28xy%28x%5E2%2Bxy%2By%5E2%29%29

%28-5xy%28x%5E2%2Bxy%2By%5E2%29%29%2F%28xy%28x%5E2%2Bxy%2By%5E2%29%29

-5

So -5 is the only value it can have.

Edwin