SOLUTION: What is the quotient 6-x/x^2+2x-3 divided by x^2-4x-12/x^2+4x+3 in simplified form. State any restrictions on the variable

Algebra ->  Rational-functions -> SOLUTION: What is the quotient 6-x/x^2+2x-3 divided by x^2-4x-12/x^2+4x+3 in simplified form. State any restrictions on the variable      Log On


   



Question 1151149: What is the quotient 6-x/x^2+2x-3 divided by x^2-4x-12/x^2+4x+3 in simplified form. State any restrictions on the variable
Answer by MathLover1(20850) About Me  (Show Source):
You can put this solution on YOUR website!
+%28%286-x%29%2F%28x%5E2%2B2x-3%29%29+%2F%28%28+x%5E2-4x-12%29%2F%28x%5E2%2B4x%2B3%29%29 ...first factor



....simplify



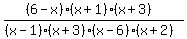
%28%286-x%29%28x+%2B+1%29+%29%2F%28%28x+-+1%29++%28x+-+6%29+%28x+%2B+2%29+%29...write %286-x%29 as -%28x-6%29
%28-%28x-6%29%28x+%2B+1%29+%29%2F%28%28x+-+1%29++%28x+-+6%29+%28x+%2B+2%29+%29....simplify



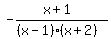
%28%28-1%29+%28x+%2B+1%29%29%2F%28%28x+-+1%29+%28x+%2B+2%29%29 (for x%3C%3E6)

-%28x+%2B+1%29%2F%28%28x+-+1%29+%28x+%2B+2%29%29