SOLUTION: A 150 g sample of protactinium -233 has a half life of 27 days. How long will it take for this sample to decay to 100 g? About 14 days About 18 days About 16 days About 2

Algebra ->  Rational-functions -> SOLUTION: A 150 g sample of protactinium -233 has a half life of 27 days. How long will it take for this sample to decay to 100 g? About 14 days About 18 days About 16 days About 2      Log On


   



Question 1139319: A 150 g sample of protactinium -233 has a half life of 27 days. How long will it take for this sample to decay to 100 g?
About 14 days
About 18 days
About 16 days
About 25 days

Answer by josgarithmetic(39630) About Me  (Show Source):
You can put this solution on YOUR website!
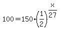
y in grams
x in days
a model based on the given half-life:
y=p%281%2F2%29%5E%28x%2F27%29

x=27 means here that y=p%2F2.

Your question asks for x so that 100=150%281%2F2%29%5E%28x%2F27%29; solve for x.