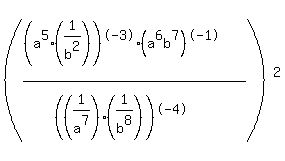
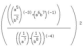
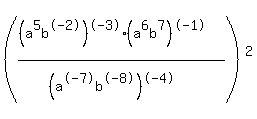
SOLUTION: Help with exponential functions. Simplify the expression. Express your answer with positive exponents. [(a^5b^-2)^-3 (a^6b^7)^-1 / (a^-7b^-8)^-4]^2

Algebra ->  Rational-functions -> SOLUTION: Help with exponential functions. Simplify the expression. Express your answer with positive exponents. [(a^5b^-2)^-3 (a^6b^7)^-1 / (a^-7b^-8)^-4]^2       Log On


   



Question 1138890: Help with exponential functions.
Simplify the expression. Express your answer with positive exponents.
[(a^5b^-2)^-3 (a^6b^7)^-1 / (a^-7b^-8)^-4]^2

Found 2 solutions by MathLover1, MathTherapy:
Answer by MathLover1(20850) About Me  (Show Source):
Answer by MathTherapy(10552) About Me  (Show Source):
You can put this solution on YOUR website!

Help with exponential functions.
Simplify the expression. Express your answer with positive exponents.
[(a^5b^-2)^-3 (a^6b^7)^-1 / (a^-7b^-8)^-4]^2
%28%28a%5E5b%5E-2%29%5E-3+%28a%5E6b%5E7%29%5E%28-+1%29%2F%28a%5E-7b%5E-8%29%5E-4%29%5E2
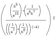
%28%28a%5E%28-+15%29b%5E6%29%28a%5E%28-+6%29b%5E%28-+7%29%29%2F%28a%5E28b%5E32%29%29%5E2
%28%28a%5E%28-+15+%2B+-+6%29b%5E%286+%2B+-+7%29%29%2F%28a%5E28b%5E32%29%29%5E2 =====> %28%28a%5E%28-+21%29b%5E%28-+1%29%29%2F%28a%5E28b%5E32%29%29%5E2 =====> %28a%5E%28-+21+-+28%29b%5E%28-+1+-+32%29%29%5E2 =====> %28a%5E%28-+49%29b%5E%28-+33%29%29%5E2 ======>
This is NOT that COMPLEX, by ANY means!!