SOLUTION: Help with exponential functions homework Use the power rules to evaluate 225^-1/2 - 1000^-1/3 + 1331^2/3

Algebra ->  Rational-functions -> SOLUTION: Help with exponential functions homework Use the power rules to evaluate 225^-1/2 - 1000^-1/3 + 1331^2/3      Log On


   



Question 1138849: Help with exponential functions homework
Use the power rules to evaluate
225^-1/2 - 1000^-1/3 + 1331^2/3

Answer by greenestamps(13216) About Me  (Show Source):
You can put this solution on YOUR website!


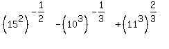
225%5E%28-1%2F2%29+-+1000%5E%28-1%2F3%29+%2B+1331%5E%282%2F3%29 =

%2815%5E2%29%5E%28-1%2F2%29+-+%2810%5E3%29%5E%28-1%2F3%29+%2B+%2811%5E3%29%5E%282%2F3%29 =

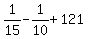
15%5E%28-1%29+-+10%5E%28-1%29+%2B+11%5E%282%29 =

1%2F15+-+1%2F10+%2B+121

Simplify further if required....