SOLUTION: A group of patriotic protesters near a wind turbine decide to place a flag on the tip of one blade. They notice that the flag is at its minimum height of 5 metres at t=6s and its m

Algebra ->  Rational-functions -> SOLUTION: A group of patriotic protesters near a wind turbine decide to place a flag on the tip of one blade. They notice that the flag is at its minimum height of 5 metres at t=6s and its m      Log On


   



Question 1117209: A group of patriotic protesters near a wind turbine decide to place a flag on the tip of one blade. They notice that the flag is at its minimum height of 5 metres at t=6s and its maximum height of 17 metres at t=30s.
Determine two equations of the sinusoidal function that describes the height of the flag in terms of time.

Found 2 solutions by ikleyn, greenestamps:
Answer by ikleyn(52905) About Me  (Show Source):
You can put this solution on YOUR website!
.
Math problems should not contain emotionally or politically colored passages or phrases. Keep a good style !


Answer by greenestamps(13215) About Me  (Show Source):
You can put this solution on YOUR website!


We are looking (I assume) for equations of the position as

a%2Asin%28b%28x-c%29%29%2Bd

and

a%2Acos%28b%28x-c%29%29%2Bd

(1) The minimum and maximum values are 5 and 17. That means a is 6 and d is 11.

(2) The minimum and maximum occur 24 seconds apart; that means the period is 48 seconds. Then b is %282pi%29%2F48 = pi%2F24.

(3a) For the sine function, the "start" of the period is when the value is 0 and increasing; that occurs at 18 seconds, so c is 18.

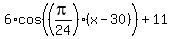
(3b) For the cosine function, the "start" of the period is when the value is maximum; that occurs at 30 seconds, so c is 30.

The two functions are

6%2Asin%28%28pi%2F24%29%28x-18%29%29%2B11

and

6%2Acos%28%28pi%2F24%29%28x-30%29%29%2B11

Here are graphs of the two functions; the sine graph (red) is shifted up 1 unit and the cosine (green) graph down 1 unit so you can see the graphs of both functions.