SOLUTION: What's a possible equation for a graph with a vertical asymptote at x=-4, horizontal asymptote at y=0, removable discontinuity at x=4, y-intercept at (0, 1/4) and no x-intercept?

Algebra ->  Rational-functions -> SOLUTION: What's a possible equation for a graph with a vertical asymptote at x=-4, horizontal asymptote at y=0, removable discontinuity at x=4, y-intercept at (0, 1/4) and no x-intercept?      Log On


   



Question 1105987: What's a possible equation for a graph with a vertical asymptote at x=-4, horizontal asymptote at y=0, removable discontinuity at x=4, y-intercept at (0, 1/4) and no x-intercept?
Answer by greenestamps(13203) About Me  (Show Source):
You can put this solution on YOUR website!


For a vertical asymptote at x=-4, you need a factor of (x+4) in the denominator, with no like factor in the numerator.

For the removable discontinuity at x=4, you need factors of (x-4) in both numerator and denominator.

To have no x-intercept, there can be no other linear factors in the numerator.

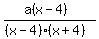
Using those constraints, we know parts of the equation are

%28a%28x-4%29%29%2F%28%28x-4%29%28x%2B4%29%29

where a is a constant.

With the equation as it is, it will have a horizontal asymptote of y=0, because the degree of the denominator is greater than the degree of the numerator.

We want the y-intercept to be (0,1/4); so the equation evaluated at 0 should be 1/4:

%28a%28x-4%29%29%2F%28%28x-4%29%28x%2B4%29%29+=+%28-4a%29%2F-16+=+a%2F4+-+1%2F4 --> a = 1

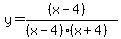
So an equation that has the required features is

y=%28%28x-4%29%29%2F%28%28x-4%29%28x%2B4%29%29