

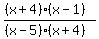
Factor the top and bottom:


Now as long as you do not cancel the (x+4)'s, then
x cannot equal to -4, because if you substitute
x = -4, you get:






That is undefined, because we cannot divide anything
by 0, not even 0 divided by 0. It's simply undefined.
That's what causes the hole to be in the graph.
Now if we cancel the (x+4)'s we get a graph which has
no hole.




Its graph does NOT have a hole!
Notice that if we substitute x=-4 in it, we get:




So the graph goes through the point
So the graph of


whih has no hole, is this:
That's the graph WITHOUT the hole because the point
is there, indicated by
the darkened circle.
Now let's go back to the original equation, which has a hole,
because the (x+4)'s were not canceled:




Its graph is the same as the graph of 

except
that it has a hole and doesn't go through the point
. Its graph is:
So when you leave the equation as it was given originally,


And do not factor and cancel out the (x+4)'s then you have a
hole at the point that makes (x+4) equal to 0.
Then when you factor and cancel the (x+4)'s, you "fill in" the
hole. There is a hole when you don't cancel, and no hole when
you do cancel.
Edwin