SOLUTION: What are the x and y intercepts and the vertical and horizontal asymptotes? f(x)=((x^2 + x - 2)/(x^2-3x-4))

Algebra ->  Rational-functions -> SOLUTION: What are the x and y intercepts and the vertical and horizontal asymptotes? f(x)=((x^2 + x - 2)/(x^2-3x-4))       Log On


   



Question 1096649: What are the x and y intercepts and the vertical and horizontal asymptotes?
f(x)=((x^2 + x - 2)/(x^2-3x-4))

Answer by greenestamps(13215) About Me  (Show Source):
You can put this solution on YOUR website!

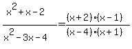
Factor the numerator and denominator. The zeros of the numerator will give you the x-intercepts; the zeros of the denominator will give you the vertical asymptotes.



So the x-intercepts are at x=-2 and x=1; the vertical asymptotes are at x=4 and x=-1.

Finding the y intercept is the easiest part: evaluate the function at x=0. The y intercept is -2/-4 = 1/2 or .5.

For the horizontal asymptote, divide numerator and denominator by x^2; the result is
%281+%2B+1%2Fx+-+2%2Fx%5E2%29%2F%28+1+-+3%2Fx+-+4%2Fx%5E2%29

As x gets very large positive or very large negative, this expression approaches the value 1/1 = 1; that means the horizontal asymptote is y=1.

You don't need to go through all that analysis to find the horizontal asymptote; as long as the degrees of the numerator and denominator are the same, the horizontal asymptote is determined by the ratio of the leading coefficients.

In summary, we have x intercepts at x=-2 and x=1; y intercept at y=1/2; vertical asymptotes at x=-1 and x=4; and a horizontal asymptote at y=1.