SOLUTION: Simplify the inequality, identify any critical points, and graph its solution {{{1-(2x^"")/(x^2+1)-(1+4x-3x^2)/(x^3-2x^2+x-2)>-1^""/(x^""-2) }}} https://ibb.co/eaRKga (th

Algebra ->  Rational-functions -> SOLUTION: Simplify the inequality, identify any critical points, and graph its solution {{{1-(2x^"")/(x^2+1)-(1+4x-3x^2)/(x^3-2x^2+x-2)>-1^""/(x^""-2) }}} https://ibb.co/eaRKga (th      Log On


   



Question 1090441: Simplify the inequality, identify any critical points, and graph its solution



https://ibb.co/eaRKga
(the number line goes up to 8)(thanks for the help)

Answer by Edwin McCravy(20060) About Me  (Show Source):
You can put this solution on YOUR website!



We factor the denominator

x%5E3-2x%5E2%2Bx-2

Factor out x2 from the first two terms and
factor out +1 from the last two terms:

x%5E2%28x%5E%22%22-2%29%2B1%28x-2%29 

Factor out (x-2)

 %28x%5E%22%22-2%29%28x%5E2%2B1%29



Write 1 as 1%2F1



The LCD is (x-2)(x²+1)

Multiply each numerator and denominator by whatever
factor(s) that are needed so the resulting denominator
will become the LCD.



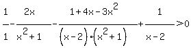
Combine all the numerators over the LCD:






Combining terms:

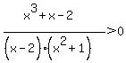
%28x%5E3%2Bx-2%29%2F%28%28x%5E%22%22-2%29%28x%5E2%2B1%29%29+%3E0

That numerator x3+x-2 obviously has zero 1.
So we factor it using synthetic division:

1 | 1  0  1 -2
  |    1  1  2
    1  1  2  0

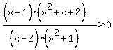
So we see that it factors as (x-1)(x2+x+2)

%28%28x%5E%22%22-1%29%28x%5E2%2Bx%2B2%29%29%2F%28%28x%5E%22%22-2%29%28x%5E2%2B1%29%29+%3E0

The critical numbers are real zeros of the numerator and
zeros of the denominator.

The only real zero of the numerator is 1
The only real zero of the denominator is 2

We place those critical numbers on a number line
They cannot be solutions themselves because the 
inequality does not permit equality:

-----------o----o----------
-1    0    1    2    3    4

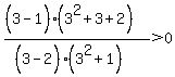
We choose a test value in the interval left of 1
The easiest one is 0 and substitute it into the
inequality:

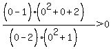
%28%280%5E%22%22-1%29%280%5E2%2B0%2B2%29%29%2F%28%280%5E%22%22-2%29%280%5E2%2B1%29%29+%3E0

%28%28-1%29%282%29%29%2F%28%28-2%29%281%29%29%3E0

1%3E0

That is true, so we shade the number line left of 1

<==========o----o----------
-1    0    1    2    3    4

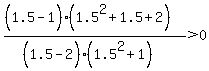
We choose a test value between 1 and 2. The easiest 
one is 1.5 and substitute it into the
inequality:



%28%280.5%29%285.75%29%29%2F%28%28-0.5%29%283.25%29%29%3E0

%22-1.769...%22%3E0

That is false, so we do not shade the number line between
1 and 2.  So we still have this graph:

<==========o----o----------
-1    0    1    2    3    4

We choose a test value in the interval right of 2
The easiest one is 3 and substitute it into the
inequality:

%28%283%5E%22%22-1%29%283%5E2%2B3%2B2%29%29%2F%28%283%5E%22%22-2%29%283%5E2%2B1%29%29+%3E0

%28%282%29%2814%29%29%2F%28%281%29%2810%29%29%3E0

2.8%3E0

That is true, so we shade the number line right of 2

<==========o----o==========>
-1    0    1    2    3    4

That is the graph of the solution.  In interval notation
that is written:



Edwin