SOLUTION: what is the maximum value for the function f(x)=4x^2-8x+16^?
Algebra
->
Rational-functions
-> SOLUTION: what is the maximum value for the function f(x)=4x^2-8x+16^?
Log On
Algebra: Rational Functions, analyzing and graphing
Section
Solvers
Solvers
Lessons
Lessons
Answers archive
Answers
Click here to see ALL problems on Rational-functions
Question 1090251
:
what is the maximum value for the function f(x)=4x^2-8x+16^?
Answer by
josgarithmetic(39620)
(
Show Source
):
You can
put this solution on YOUR website!
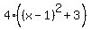
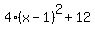
None. No maximum value unless you have a specific interval. Your parabola has a minimum value.
The MINIMUM value is
.