SOLUTION: simplify (6x³/3x⁴)²

Algebra ->  Rational-functions -> SOLUTION: simplify (6x³/3x⁴)²      Log On


   



Question 1089763: simplify (6x³/3x⁴)²
Found 3 solutions by jim_thompson5910, ikleyn, MathTherapy:
Answer by jim_thompson5910(35256) About Me  (Show Source):
You can put this solution on YOUR website!
There are many ways to do this. One such way is

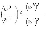
%28%286x%5E3%29%2F%283x%5E4%29%29%5E2=%28%286x%5E3%29%5E2%29%2F%28%283x%5E4%29%5E2%29





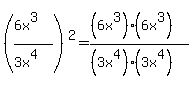
%28%286x%5E3%29%2F%283x%5E4%29%29%5E2=%2836x%5E%283%2B3%29%29%2F%289x%5E%284%2B4%29%29

%28%286x%5E3%29%2F%283x%5E4%29%29%5E2=%2836x%5E6%29%2F%289x%5E8%29

%28%286x%5E3%29%2F%283x%5E4%29%29%5E2=%289%2A4x%5E6%29%2F%289x%5E8%29



%28%286x%5E3%29%2F%283x%5E4%29%29%5E2=%28cross%289%29%2A4x%5E6%29%2F%28cross%289%29x%5E8%29

%28%286x%5E3%29%2F%283x%5E4%29%29%5E2=%284x%5E6%29%2F%28x%5E8%29

%28%286x%5E3%29%2F%283x%5E4%29%29%5E2=%284x%5E6%29%2F%28x%5E6%2Ax%5E2%29





%28%286x%5E3%29%2F%283x%5E4%29%29%5E2=%284%29%2F%28x%5E2%29

------------------------------------------------------------

Or another method is this

%28%286x%5E3%29%2F%283x%5E4%29%29%5E2=%28%283%2A2x%5E3%29%2F%283x%5E4%29%29%5E2





%28%286x%5E3%29%2F%283x%5E4%29%29%5E2=%28%282x%5E3%29%2F%28x%5E4%29%29%5E2

%28%286x%5E3%29%2F%283x%5E4%29%29%5E2=%28%282x%5E3%29%2F%28x%5E3%2Ax%29%29%5E2





%28%286x%5E3%29%2F%283x%5E4%29%29%5E2=%282%2Fx%29%5E2

%28%286x%5E3%29%2F%283x%5E4%29%29%5E2=%282%5E2%29%2F%28x%5E2%29

%28%286x%5E3%29%2F%283x%5E4%29%29%5E2=%284%29%2F%28x%5E2%29

------------------------------------------------------------

Whichever method you choose, the final simplified answer is %284%29%2F%28x%5E2%29

Note: throughout all of this, x cannot equal zero


Answer by ikleyn(52864) About Me  (Show Source):
You can put this solution on YOUR website!
.
%28%286x%5E3%29%2F%283x%5E4%29%29%5E2  =  %282%2Fx%29%5E2  =  4%2Fx%5E2.


The solution SHOULD NOT be more complex than the problem requires.



Answer by MathTherapy(10556) About Me  (Show Source):
You can put this solution on YOUR website!

simplify (6x³/3x⁴)²
Good Lord! I feel sorry for the person who looked at Jim Thompson's solution. Why do some of these people make these SIMPLE solutions/simplifications
so lengthy and complex? It's like the math problem can be written in 2 sentences, yet they write NOVELS, and sometimes they create MOVIES.
%286x%5E3%2F%283x%5E4%29%29%5E2%29 
%282cross%286%29x%5E3%2F%28cross%283%29x%5E4%29%29%5E2 ------- Reducing the constants in the numerator and denominator
%282cross%28x%5E3%29%2F%28x+%2A+cross%28x%5E4%29%29%29%5E2 ------ Reducing the fraction in the parentheses by canceling the variables
highlight_green%284%2Fx%5E2%29 <====== This is how SIMPLE this is!