SOLUTION: The base of a solid in the xy-plane is the circle x^2 + y^2 = 16. Cross sections of the solid perpendicular to the y-axis are squares. What is the volume, in cubic units, of the so

Algebra ->  Rational-functions -> SOLUTION: The base of a solid in the xy-plane is the circle x^2 + y^2 = 16. Cross sections of the solid perpendicular to the y-axis are squares. What is the volume, in cubic units, of the so      Log On


   



Question 1085534: The base of a solid in the xy-plane is the circle x^2 + y^2 = 16. Cross sections of the solid perpendicular to the y-axis are squares. What is the volume, in cubic units, of the solid?
Found 2 solutions by addingup, Edwin McCravy:
Answer by addingup(3677) About Me  (Show Source):
Answer by Edwin McCravy(20065) About Me  (Show Source):
You can put this solution on YOUR website!

He's correct for x%5E2+%2B+y%5E2+=+25.

He used 25 instead of 16.



The differential of volume is a thin square slab,
(think of a thin square linoleum floor tile) whose
thickness is dx thick. Think of the green slab being
a square (I know it doesn't look like a square, but
pretend it is a square whose edge is on the thin black
strip and imagine it sticking straight up out of the 
paper straight up toward you, perpendicular to the 
xy-plane, not slanted as it looks like here.)

The length of the edge of the slab is 

%28%22%22+%2B+sqrt%2816-x%5E2%29%29-%28-sqrt%2816-x%5E2%29%29 = sqrt%2816-x%5E2%29%2Bsqrt%2816-x%5E2%29 =2sqrt%2816-x%5E2%29

The vertical height of the slab is the same, since it's square,
and its thickness is dx, so the differential of volume is

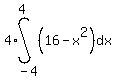
%282sqrt%2816-x%5E2%29%29%5E2%2Adx or 4%2816-x%5E2%29dx

The slabs go from where x=-4 to +4

So

V=int%284%2816-x%5E2%29%2Cdx%2C-4%2C4%29 = 4%2Aint%28%2816-x%5E2%29%2Cdx%2C-4%2C4%29 =  

Finish that by breaking it into two integrals and you'll
end up with 1024%2F3.

Edwin