SOLUTION: Solve: A: (x^2)/(x^2+2x+1) divided by (3x)/(x^2-1) B: (2x)/(x^2-x-2) minus (4x)/(x^2-3x+2) *sorry for the formatting, was having issues

Algebra ->  Rational-functions -> SOLUTION: Solve: A: (x^2)/(x^2+2x+1) divided by (3x)/(x^2-1) B: (2x)/(x^2-x-2) minus (4x)/(x^2-3x+2) *sorry for the formatting, was having issues      Log On


   



Question 1084113: Solve:
A: (x^2)/(x^2+2x+1) divided by (3x)/(x^2-1)
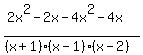
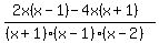
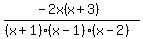
B: (2x)/(x^2-x-2) minus (4x)/(x^2-3x+2)
*sorry for the formatting, was having issues

Answer by MathLover1(20850) About Me  (Show Source):