SOLUTION: |8x+18|<8
Algebra
->
Rational-functions
-> SOLUTION: |8x+18|<8
Log On
Algebra: Rational Functions, analyzing and graphing
Section
Solvers
Solvers
Lessons
Lessons
Answers archive
Answers
Click here to see ALL problems on Rational-functions
Question 1084110
:
|8x+18|<8
Answer by
Fombitz(32388)
(
Show Source
):
You can
put this solution on YOUR website!
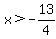
Positive solution:
Negative solution:
So,