SOLUTION: Consider the polynomial function f(x)=x^4-x^3-x^2-x-2 a) How many zeros does f(x) have? How many are real? How many are complex? b) Find all zeros of P real and complex.

Algebra ->  Rational-functions -> SOLUTION: Consider the polynomial function f(x)=x^4-x^3-x^2-x-2 a) How many zeros does f(x) have? How many are real? How many are complex? b) Find all zeros of P real and complex.       Log On


   



Question 1070974: Consider the polynomial function f(x)=x^4-x^3-x^2-x-2
a) How many zeros does f(x) have? How many are real? How many are complex?
b) Find all zeros of P real and complex.

Answer by Fombitz(32388) About Me  (Show Source):
You can put this solution on YOUR website!
.
.
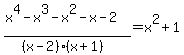
Four roots, two are real, two are complex.
.
.
x-2 and x%2B1%7D%7D+are+both+factors+of+the+polynomial%2C%0D%0A%7B%7B%7Bx=2 and x=-1 are the two real roots of the equation,
%28x%5E4-x%5E3-x%5E2-x-2%29%2F%28%28x-2%29%28x%2B1%29%29=x%5E2%2B1
So the other two roots are
x=-i and x=i