SOLUTION: The roots of a polynomial P(x) are 5,-2, and 3i. Write the equation, of lowest degree, for P(x) in standard form.

Algebra ->  Rational-functions -> SOLUTION: The roots of a polynomial P(x) are 5,-2, and 3i. Write the equation, of lowest degree, for P(x) in standard form.       Log On


   



Question 1070973: The roots of a polynomial P(x) are 5,-2, and 3i. Write the equation, of lowest degree, for P(x) in standard form.
Answer by Alan3354(69443) About Me  (Show Source):
You can put this solution on YOUR website!
The roots of a polynomial P(x) are 5,-2, and 3i. Write the equation, of lowest degree, for P(x) in standard form.
---------
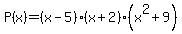
-3i is also a root.
---
--> P%28x%29+=+%28x-5%29%2A%28x%2B2%29%2A%28x%5E2%2B9%29