SOLUTION: I need to make up a rational function that has the following characteristics : crosses the x-axis at 3; touches the x-axis at -2;, has a vertical asymptote at x=1 and at x=-4; has

Algebra ->  Rational-functions -> SOLUTION: I need to make up a rational function that has the following characteristics : crosses the x-axis at 3; touches the x-axis at -2;, has a vertical asymptote at x=1 and at x=-4; has       Log On


   



Question 1059284: I need to make up a rational function that has the following characteristics : crosses the x-axis at 3; touches the x-axis at -2;, has a vertical asymptote at x=1 and at x=-4; has a hole at x=5; and has a horizontal asymptote at y=2
Answer by josgarithmetic(39623) About Me  (Show Source):
You can put this solution on YOUR website!
NOTE: Because of the "touch at x=-2" part of the description, another tutor may need to discuss this exercise for a better solution.

Only some GUIDANCE...

The numerator may control all your x-intercepts. Having a horizontal asymtptote means degree of numerator and degree of denominator are the same. Your vertical asymptotes tell you where along the x-axis the "roots" for the numerator are.

That should help you very much.


--According to your personal note, the guidance above was not clear enough for you or you did not seem ready for that guidance.

Look at the specifications for your rational function:
-------------------------------------------------
Zeros at x for 3 and -2
Vertical asymptotes at x for 1 and -4
Hole at x=5
Horizontal asymptote for y=2
-------------------------------------------------

Two things may stand out to you right-away.
Horizontal Asymptote, telling you degree of numerator and denominator are same; and the hole and the vertical asymptotes tell you three x-values for which the function is undefined.

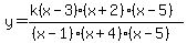
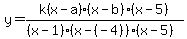
Give the function a factor, k.
y=k%28x-a%29%28x-b%29%28x-5%29%2F%28%28x-1%29%28x-%28-4%29%29%28x-5%29%29
Look and see that:
(*) Degree of numerator and denominator are equal.
(*) x-5 is a factor in both the numerator AND the denominator.


Good so far?


Degree of numerator is 3 and degree of denominator is ALSO 3.
Formula for y contains the factor %28x-5%29%2F%28x-5%29, obviously an expression meaning 1, but makes the formula undefined at x=5.

A minor simplification of the formula:

y=%28k%28x-3%29%28x%2B2%29%28x-5%29%29%2F%28%28x-1%29%28x%2B4%29%28x-5%29%29

Notice this also written to account for the two zeros at x=3 and x=-2.

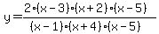
The horizontal asymptote:
Need y=2 when x goes unbound toward either negative or positive infinity.

y=%282%28x-3%29%28x%2B2%29%28x-5%29%29%2F%28%28x-1%29%28x%2B4%29%28x-5%29%29
Note that this solution attempt may still be incomplete, because I am unsure how to establish that y crosses x-axis at 3 but TOUCHES the x-axis at -2. Another tutor may need to help with finishing for that.