SOLUTION: 5/x-2 = 2x/x²-4 + 1/x+2
Algebra
->
Rational-functions
-> SOLUTION: 5/x-2 = 2x/x²-4 + 1/x+2
Log On
Algebra: Rational Functions, analyzing and graphing
Section
Solvers
Solvers
Lessons
Lessons
Answers archive
Answers
Click here to see ALL problems on Rational-functions
Question 1056632
:
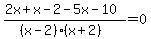
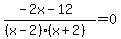
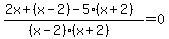
5/x-2 = 2x/x²-4 + 1/x+2
Answer by
Fombitz(32388)
(
Show Source
):
You can
put this solution on YOUR website!