SOLUTION: If f(x)=5/x and g(x)=2/2x+1 , find the functions (a,b) and their domains. a.) (f o g)(x) I did 5/1/2/2x+1 and I multiplied 2 and 1 and multiplied 5 and 2x+1 to get 10x+5/2 . I t

Algebra ->  Rational-functions -> SOLUTION: If f(x)=5/x and g(x)=2/2x+1 , find the functions (a,b) and their domains. a.) (f o g)(x) I did 5/1/2/2x+1 and I multiplied 2 and 1 and multiplied 5 and 2x+1 to get 10x+5/2 . I t      Log On


   



Question 1052272: If f(x)=5/x and g(x)=2/2x+1 , find the functions (a,b) and their domains.
a.) (f o g)(x) I did 5/1/2/2x+1 and I multiplied 2 and 1 and multiplied 5 and 2x+1 to get 10x+5/2 . I then factored out the 5 in the numerator to get 5(2x+1) (Not positive if I need to factor the numerator or not) and then the denominator stayed at 2. I think the correct answer to this is 5(2x+1)/2 . And the Domain= (-infinity, 1/2)u(1/2, +infinity). (Not sure if this Domain is correct, nor am I sure how I got it).

b.) (g o f)(x) I am not sure how to solve this one. I am stuck at 2/2(5/x)+1. I am not sure how to get the fraction out of the denominator.
Anything helps, thank you.
-Garrett

Answer by jim_thompson5910(35256) About Me  (Show Source):
You can put this solution on YOUR website!
Part A


f%28x%29+=+5%2Fx


f%28g%28x%29%29+=+5%2F%28g%28x%29%29 Replace EVERY copy of x with g(x)


f%28g%28x%29%29+=+5%2F%282%2F%282x%2B1%29%29 Focus only on the right side. Replace g(x) with it's equivalent expression. Now simplify


f%28g%28x%29%29+=+%285%2F1%29%2F%282%2F%282x%2B1%29%29


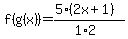
f%28g%28x%29%29+=+%285%2F1%29%2A%28%282x%2B1%29%2F2%29


f%28g%28x%29%29+=+%285%282x%2B1%29%29%2F%281%2A2%29


f%28g%28x%29%29+=+%2810x%2B5%29%2F%282%29


Since (f o g)(x) is the same as f(g(x)), this means that (f o g)(x) is equal to %2810x%2B5%29%2F%282%29


The simplified form of the equation above leads to no domain issues. However, if you consider the original function before you simplify, then x+=+-1%2F2 leads to a division by zero error.
So we must kick that out of the domain.


So the domain of (f o g)(x) is (-infinity, -1/2) U (-1/2, infinity). Any other number works in the domain.


====================================================================


Part B


g%28x%29+=+2%2F%282x%2B1%29


g%28f%28x%29%29+=+2%2F%282%2Af%28x%29%2B1%29 Replace EVERY copy of x with f(x)


g%28f%28x%29%29+=+2%2F%282%2A%285%2Fx%29%2B1%29 Plug in f(x) = 5/x. Simplify.


g%28f%28x%29%29+=+2%2F%2810%2Fx%2B1%29


g%28f%28x%29%29+=+2%2F%2810%2Fx%2Bx%2Fx%29


g%28f%28x%29%29+=+2%2F%28%2810%2Bx%29%2Fx%29


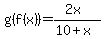
g%28f%28x%29%29+=+%282x%29%2F%2810%2Bx%29


So (g o f)(x) is equivalent to %282x%29%2F%2810%2Bx%29


Here we can't have x equal 0 or -10. Those values make the denominator zero. Any other value will work.


So the domain of (g o f)(x) is (-infinity, -10) U (-10, 0) U (0, infinity)