SOLUTION: I am not sure if this question goes into this section. The question is consider the function g(x)= (x+1)(x-2)^3/(x+3)(x-2)^2(x+1)^2 List the locations of all vertical Asympto

Algebra ->  Rational-functions -> SOLUTION: I am not sure if this question goes into this section. The question is consider the function g(x)= (x+1)(x-2)^3/(x+3)(x-2)^2(x+1)^2 List the locations of all vertical Asympto      Log On


   



Question 1033527: I am not sure if this question goes into this section.
The question is consider the function g(x)= (x+1)(x-2)^3/(x+3)(x-2)^2(x+1)^2
List the locations of all vertical Asymptotes of g(x)
List the locations of all zeros of g(x)
I'm not really worried about the answers so much, I just need to know how to do this problem so please try to break it down for me, thanks!

Answer by josgarithmetic(39620) About Me  (Show Source):
You can put this solution on YOUR website!
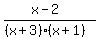
One would guess that you really have g%28x%29=%28%28x%2B1%29%28x-2%29%5E3%29%2F%28%28x%2B3%29%28x-2%29%5E2%28x%2B1%29%5E2%29.

Keep reference to the original function g, but simplify the expression:
%28x-2%29%2F%28%28x%2B3%29%28x%2B1%29%29, which simply uses basic fraction and exponent rules.

UNDEFINED for x=-3, x=2, x=-1.
Vertical asymptote for x=-3 and for x=-1.

What about zeros of g? Why not x=2 be a zero of g?
Because x at 2 is still UNDEFINED in the original function g(x); you find the factor x-2 in te DENOMINATOR. THIS MEANS THAT THERE IS A HOLE AT x=1. The graph here does not show this, but you could indicate this hole if showing on actual graph paper....