SOLUTION: (1/x+1) + (1/x+2) = 1 This question was on my homework, but our teacher hasn't taught it to us yet. Please can you help? Thank you?

Algebra ->  Rational-functions -> SOLUTION: (1/x+1) + (1/x+2) = 1 This question was on my homework, but our teacher hasn't taught it to us yet. Please can you help? Thank you?      Log On


   



Question 1031682: (1/x+1) + (1/x+2) = 1
This question was on my homework, but our teacher hasn't taught it to us yet. Please can you help? Thank you?

Found 4 solutions by Fombitz, fractalier, ikleyn, rothauserc:
Answer by Fombitz(32388) About Me  (Show Source):
You can put this solution on YOUR website!
Just like with fractions, use a common denominator,



Equate the numerators,
2x%2B3=x%5E2%2B3x%2B2
x%5E2%2Bx-1=0
Complete the square,
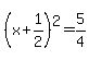
%28x%5E2%2Bx%2B1%2F4%29-1-1%2F4=0
%28x%2B1%2F2%29%5E2=5%2F4
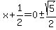
x%2B1%2F2=0+%2B-+sqrt%285%29%2F2
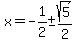
x=-1%2F2+%2B-+sqrt%285%29%2F2
highlight%28x=%28-1+%2B-+sqrt%285%29%29%2F2%29

Answer by fractalier(6550) About Me  (Show Source):
You can put this solution on YOUR website!
What you do with
1%2F%28x%2B1%29+%2B+1%2F%28x%2B2%29+=+1+
is multiply everything by the lowest common denominator, (x+1)(x+2)...we get
%28x%2B2%29+%2B+%28x%2B1%29+=+%28x%2B1%29%28x%2B2%29
Now solve for x...we get
2x+%2B+3+=+x%5E2+%2B+3x+%2B+2
x%5E2+%2B+2x+-+1+=+0
which cannot be factored...you'll have to apply the quadratic formula from here...

Answer by ikleyn(52894) About Me  (Show Source):
You can put this solution on YOUR website!
.
Shortly speaking, multiply both sides by (x+1)*(x+2) to rid off the denominators,
and then solve the obtained quadratic equation.


Answer by rothauserc(4718) About Me  (Show Source):
You can put this solution on YOUR website!
(1/(x+1)) + (1/(x+2)) = 1
:
the common denominator is (x+1)*(x+2)
:
multiply both sides of the = by the common denominator
:
(x+2) + (x+1) = x^2+3x+2
:
x^2 +x -1 = 0
:
x^2 +x = 1
:
complete the square
:
x^2 +x + (1/4) = 1 + (1/4)
:
(x+(1/2))^2 = 5/4
:
take square root of both sides
x+(1/2) = square root(5)/2
:
**************************************************
x = square root(5)/2 - (1/2) = 0.618033989
x = -square root(5)/2 - (1/2) = −1.618033989
**************************************************
:
check the work by substituting for x in given equation
: