SOLUTION: (x+(4x/y)/(7/3x) I'm a little confused on how to solve this,can someone explain. Thank you.

Algebra ->  Rational-functions -> SOLUTION: (x+(4x/y)/(7/3x) I'm a little confused on how to solve this,can someone explain. Thank you.      Log On


   



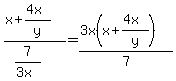
Question 1027597: (x+(4x/y)/(7/3x)
I'm a little confused on how to solve this,can someone explain. Thank you.

Answer by Fombitz(32388) About Me  (Show Source):
You can put this solution on YOUR website!
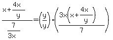
You can't solve but you can simplify.
Remember that dividing by a fraction is equivalent to multiplying by its reciprocal.
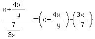
%28x%2B%284x%29%2Fy%29%2F%287%2F%283x%29%29=%28x%2B%284x%29%2Fy%29%2A%28%283x%29%2F7%29
%28x%2B%284x%29%2Fy%29%2F%287%2F%283x%29%29=%283x%28x%2B%284x%29%2Fy%29%29%2F7%29